Outils pour utilisateurs

Outils du site


apnee-niveaux

Ceci est une ancienne révision du document !


Les niveaux d'apnéiste (au sens FFESSM)

Présentation générale

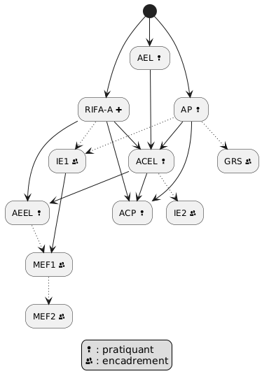
Cursus Apnée FFESSM-CMAS 2019

Deux milieux :

  1. Piscine (P)
  2. Eau Libre (EL)

3 niveaux :

  1. Apnéiste
  2. Apnéiste Confirmé
  3. Apnéiste Expert

5 combinaisons :

  1. Apnéiste EL (AEL)
  2. Apnéiste P (AP)
  3. Apnéiste Confirmé EL (ACEL)
  4. Apnéiste Confirmé P (ACP)
  5. Apnéiste Expert EL (AEEL)

AELAPRIFA-AACPACELAEELIE1GRSIE2MEF1MEF2: pratiquant: encadrement
Source : https://apnee.ffessm.fr/les-niveaux-d-apnee

Contenu

6 compétences définies dans le MFA :

  1. Compétence 1 : utiliser son matériel
  2. Compétence 2a : capacités techniques en surface et maîtrise de la ventilation
  3. Compétence 2b : capacités techniques en immersion
  4. Compétence 3 : maîtrise de l’apnée et capacités physiques
  5. Compétence 4 : réactions aux situations et autonomie
  6. Compétence 5 : connaissances théoriques
  7. Compétence 6 :

La question du CACI

CACI = Certificat d'Absence de Contre-Indications

pratique à + 6m ?ouinonCACI 1 anCACI 3 anspathologie ?ouinonMédecin fédéral,du sport ou spécialiséTout Médecincompétition ? …ouinon15/9->14/9Médecin du sportoui… et Pôle, Équipe FRou CMAS ?…… en EL ?ouinonMédecin fédéral,du sport ou spécialiséTout Médecin15/9->31/12Tout Médecin

apnee-niveaux.1579161180.txt.gz · Dernière modification: 2020-01-16 08:53 de pierre